鹽酸莫西沙星起始原料選擇及其質量研究關鍵點
導讀:仿制藥研發領域,起始原料選擇尤為重要。
1.綜述
鹽酸莫西沙星是拜耳公司開發的第四代新型8-甲氧基氟喹諾酮類抗菌藥物,具有抗菌譜廣、抗菌力強、交叉耐藥少、光毒性低、藥物相互作用少、生物利用度高、組織穿透力好等特點。最早于1999年6月在德國獲批上市,并于2002年8月獲批進口中國。截至2011年5月,鹽酸莫西沙星片已在包括上述國家在內的127個國家和地區獲得批準。
鹽酸莫西沙星結構如下:

鹽酸莫西沙星合成工藝路線如下:

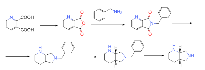
從結構來看主要由兩個片段組成,片段一為(S,S)-2,8-二氮雜二環[4,3,0]壬烷(CAS:151213-40-0),作為本品合成的起始原料之一;合成路線如下:

片段二為8-甲氧基氟喹諾酮類結構,以1-環丙基-6,7-二氟-1,4-二氫-8甲氧基-4-氧代-3-喹啉羧酸乙酯(CAS:112811-71-9)起始原料反應制得,其合成路線如下:

2.起始原料選擇依據
在原料藥研究DMF備案中,起始原料選擇依據尤為重要,會影響到API注冊的風險,依據ICHQ11原則,確定起始原料,如下:
1)起始原料A和B為原料藥API關鍵結構片段,可以通過有效手段進行鑒別。
2)兩個起始原料A和B質量標準合理建立,相關雜質的控制及限度制定依據合理,滿足可持續生產出合格原料藥。
3)原料藥有手性中心引入是來源于起始原料A和B,其中異構體雜質的控制可優先采取源頭控制策略。
4)對原料藥藥典規定的雜質,需確定其產生機理,并對產生該雜質的源頭進行合理控制,加標確定合適的質控限度,確保生產的原料藥符合要求。
5)工藝路線一般要求工藝路線要求至少3步化學鍵合反應,在滿足注冊要求的前提下,確保起始原料選擇的合理性。
6)對于外購原料A和B,嚴格按供應商確認程序進行審計和資質確認,要求供應商對起始原料質量可能產生影響的任何工藝變更及時通知申報方,降低未來工藝變更可能對原料藥質量造成影響的風險,并定期對供應商進行全面的質量審計,保證其生產的原料持續符合質量要求。
選擇起始原料應考慮上述全部原則,而不是孤立的嚴格遵循單個原則。
3.起始原料分析方法建立關鍵點
3.1起始原料:(S,S)-2,8-二氮雜二環[4,3,0]壬烷
3.1.1雜質分析

3.1.2研究思路
1)有關物質方法:主要檢測雜質-0B、雜質-0C、雜質-0D與未知雜質,采用HPLC法。
2)有關物質方法Ⅱ:主要檢測雜質-0F與雜質-0H,此兩雜質在有關物質條件下出峰較早,干擾測定,單建方法進行檢測。其中雜質-0F與雜質-0H極性極大,采用常規C18色譜柱基本沒有保留;雜質-0F與雜質-0H結構中均含有N原子,在酸性的流動相條件下,這兩個化合物帶正電荷,此時采用含有庚烷磺酸鈉的流動相時,帶正電的兩個化合物會和帶負電的庚烷磺酸鈉基團形成靜電作用,從而保留增強。
3)異構體:雜質-0A為對映異構體,采用柱前手性衍生試劑GITC進行衍生方法檢測。
4)雜質-0G:采用陽離子交換色譜柱進行檢測;
5)雜質-0E:為酒石酸,采用HPLC法進行檢測。
3.1.3 檢測方法優化思路
流動相加入離子對試劑庚烷磺酸鈉時,離子對試劑極易吸附在普通色譜柱填料的活性位點上,難以洗脫下來,導致色譜柱死體積增加,保留時間提前,理論塔板數降低,分離度變差的情況,這個吸附過程是不可逆的,因此在選擇色譜柱的時候需要格外注意。選擇島津Shim-packScepterC18色譜柱,此款色譜柱采用新開發的有機硅烷層與無機硅烷層多層結構的混合型顆粒,既保持了無機硅烷的高機械強度,也極大的提高了強酸堿的耐受性(pH1.0~12.0)。同時運用微反應器造粒技術和多級端基封尾技術,保證了可以長期耐受離子對試劑流動相。
分析方法:
色譜柱:Shim-packScepterC18-120(5μm,4.6×250mm)PN:227-31020-06;SN:106YA80292
柱溫30℃;檢測波長210nm;流速1ml/min;進樣量20μl;供試品濃度:1mg/min;
流動相A:0.02mol庚烷磺酸鈉溶液(磷酸調pH至2.9)
流動相B:乙腈
稀釋劑:流動相A
梯度洗脫程序:

說明:色譜圖從上到下依次為雜質E和雜質F混合溶液、空白、其他雜質混合溶液、供試品溶液。
結果:空白、其他雜質均不干擾檢測;供試品中未檢出雜質E和F。
3.2起始原料:1-環丙基-6,7-二氟-1,4-二氫-8甲氧基-4-氧代-3-喹啉羧酸乙酯
3.2.1雜質分析

3.2.2研究思路
1)有關物質方法:主要檢測雜質-1A、雜質-1B、雜質-1C、雜質-1D、雜質-1F、雜質-1H、雜質-1L與未知雜質。
2)有關物質方法Ⅱ:主要檢測雜質-1M與雜質-1I;雜質MXC-1M在原有關物質條件下靈敏度不符合要求,雜質MXC-1I與主峰重合,另新建方法進行研究。
3)有關物質方法Ⅲ:主要檢測雜質-1K,該雜質紫外吸收較弱,采用GC-MS進行研究,在后續步驟中控制。
4)有關物質方法Ⅳ:主要檢測雜質-1J,為致突變雜質,紫外吸收較弱,結構中有醛基,采用2,4-二硝基苯肼衍生進行研究。
5)有關物質方法Ⅴ:主要檢測雜質-1G和雜質-1O,均為致突變雜質,靈敏度較低,單獨進行研究。
6)有關物質方法Ⅵ:主要檢測雜質-1E,為致突變雜質,采用GC方法單獨進行研究。
3.2.3 檢測方法優化思路
由于目標物結構類似,極性差異小,需要選擇島津Shim-packScepterHD-C18色譜柱進行分離,Shim-packScepterHD-C18填料為為聚合型鍵合,立體選擇性較強,適合分離結構類似的化合物。
分析條件:
色譜柱:Shim-packScepterHD-C18-80(5μm,4.6×250mm)PN:227-31024-06;SN:127YA90057
柱溫40℃;檢測波長220nm;流速1ml/min;進樣量20μl;供試品濃度:1mg/min
流動相A:0.02mol磷酸二氫鉀溶液
流動相B:甲醇-乙腈(70:30)
稀釋劑:0.2%磷酸-甲醇(45:55)溶液(用三乙胺調節pH至6.3)
梯度洗脫程序:

系統適用性溶液
出峰順序:雜質A、雜質L、雜質B、雜質D、雜質C、雜質F(雜質I)、主峰、雜質G(雜質N)、雜質H、雜質M。
說明:峰8和峰7(主峰)的分離度大于1.5,其他雜質不干擾主峰且和主峰的分離度大于1.5。
4.寄語
在仿制藥研發領域,起始原料選擇尤為重要,需參考ICHQ11制定合理的起始原料選擇依據,有助于減少返補風險;對于雜質研究,選擇合理的控制策略,有助于注冊風險的降低;對于分析方法的建立,從各雜質結構分析,分批合理制定雜質研究思路;對于特殊的雜質研究,選擇合理的色譜條件及色譜柱,能有助于快速開發出合理的檢測方法。
-END-
關于我們:
北京新領先醫藥科技發展有限公司分析測試中心擁有一千平米的專業實驗室,配備藥物分析領域的各種高端儀器設備40余臺,主要包括電感耦合等離子體質譜儀(ICP-MS)、液質聯用儀(LC-MS/MS)、氣質聯用儀(GC-MS/MS和GC-MS)、離子色譜儀(IC)、差示掃描量熱儀(DSC)、紅外光譜(IR)、高效液相色譜(HPLC,配備電噴霧檢測器CAD)和氣相色譜儀(GC)等。該中心不僅通過了ISO9001質量管理體系認證,并且即將獲得CNAS認可資質。檢測數據采集和處理系統均具備網絡版審計追蹤功能,可為廣大客戶提供安全、準確、可靠和可追溯的檢測數據和結果。
該中心不僅研發技術團隊高度專業化,檢測技術和藥物研發經驗豐富,而且有非常強大的業界知名專家組成的顧問團隊,以及與島津和賽默飛儀器公司建立的聯合實驗室,可以使用世界上最先進的儀器設備,為藥物研發企業提供專業、精準、快速的檢測技術服務。
該中心的主要業務范圍包括:符合國家藥政法規的藥物全生命周期質量研究、遺傳毒性雜質檢測、痕量殘留物分析、元素雜質檢測、藥品接觸系統相容性研究(藥包材、生產組件和給藥裝置等)、抗生素類藥物聚合物雜質研究、未知雜質結構解析、難獲得雜質質譜研究,以及使用Derek和Sarah軟件對含有遺傳毒性警示結構的雜質進行毒性預測等多個檢測技術領域。其中,聚合物雜質研究和難獲得雜質質譜檢測為業界首創技術,可為藥物研發過程中的難點和痛點問題提供強有力的技術支持。


轉載聲明:未經本網或本網權利人授權,不得轉載、摘編或利用其他方式使用上述作品。已經本網或本網權利人授權使用作品的,應在授權范圍內使用,并注明“來源:新領先醫藥科技”。

Hotline服務熱線:010-83057670
簡體中文

010-83057670
聯系地址:
技術市場部:
北京新領先
新領先藥訊
010-61006450
